| Land | Kooperative | Blend / ML Name | Arabica / Robusta | Aufbereitung | Organic / konventionell |
Qualität / SCA |
Netto kg (gesamt) |
FOB US$ / lb / [Das Gewicht ist unterschiedlich pro Land] |
CAD / Vorfinanzierung | Gesamtwert |
| PER | Cenfrocafe | Blend | Arabica | lavado | organic | 84+ / APU | 10.350,00 | 2,90 |
(60 % / 40%) 100 % CAD |
66.172,50 |
| BRA | COOPFAM | Blend | Arabica | natural | konventionell | 83 | 6.000,00 | 2,90 | 100% CAD | 38.360,33 |
| EC | Jatari | Blend | Robusta | lavado | konventionell | :D | 5.451,00 | 280,00 | 60% / 40 % | 33.622,40 |
| EC | ACRIM | Blend | Arabica | lavado | organic | 84 | 10.833,00 | 340,00 | 60% / 40 % | 81.137,60 |
| EC | APECAP | IRMA TOCTO / Typica Mejorada | Arabica | lavado | organic | :D | 19619,52 | 565,00 | CAD | 3.435,20 |
| APECAEL | MANUEL ORTIZ / Typica | Arabica | konventionell | :D | 490,00 | 2.352,00 | ||||
| APECAP | ILDA MAYO / Typica Mejorada | Arabica | organic | :D | 560,00 | 4.065,60 | ||||
| ACRIM | FRANKLIN VELEZ / Caturra & Catimor | Arabica | organic | :D | 470,00 | 2.613,20 | ||||
| ACRIM | TEREZA PACCHA / Caturra & Catimor & Typica | Arabica | organic | :D | 420,00 | 3.158,40 | ||||
| APECAP | LUZ MARIA CASTILLO / Hybrid F1 | Arabica | organic | :D | 380,00 | 2.888,00 | ||||
| APECAEL | FANY TOLEDO / Typica & Caturra | Arabica | konventionell | :D | 450,00 | 3.523,50 | ||||
| ACRIM | PEDRO ABAD / Castilla & Bourbon & Sarchimor | Arabica | organic | :D | 380,00 | 2.888,00 | ||||
| APECAP | JOSE MAYO / Typica & Nacional | Arabica | organic | :D | 380,00 | 4.415,60 | ||||
| EC | ASOSUMACO | ASOSUMACO | Robusta | lavado | konventionell | :D | 385,00 | CAD | 1.409,10 | |
| CHANAGUANO | CHANAGUANO | Robusta | lavado | konventionell | :D | 365,00 | 1.109,60 | |||
| ASOSUMACO | FABIO Taza dorada | Robusta | lavado | konventionell | :D | 345,00 | 310,50 | |||
| EC | Rukkulakta | Blend | Robusta | lavado | konventionell | :D | 9.039,00 | 280,00 | 60% / 40 % | 55.753,60 |
| EC | ASOSUMACO | Blend | Robusta | lavado | konventionell | :D | 10.350,00 | 280,00 | 60% / 40 % | 63.840,00 |
| EC | ACRIM | Blend | Arabica | lavado | konventionell | 84 | 15.077,88 | 340,00 | 60% / 40 % | 55.297,60 |
| EC | APECAP | Blend | Arabica | lavado | konventionell | 84 | 340,00 | 60% / 40 % | 19.121,60 | |
| EC | APECAP | Blend | Arabica | Melado | konventionell | 84 | 340,00 | 60% / 40 % | 25.840,00 | |
| EC | ACRIM | Blend | Arabica | Melado | konventionell | 84 | 340,00 | 100 % CAD | 4.764,90 | |
| EC | JR | ML | Arabica | Melado | konventionell | :D | 340,00 | 100 % CAD | 2.584,00 | |
| EC | APECAP | Blend | Arabica | Melado | konventionell | 84 | 340,00 | 100 % CAD | 5.168,00 | |
| EC | VM / APECAP | ML | Arabica | lavado | konventionell | :D | 480,00 | 100 % CAD | 192,00 | |
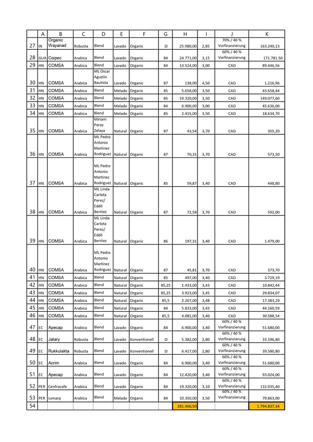
| IN | Organic Waynad | Blend | Robusta | lavado | organic | :D | 9.960,00 | 6,2833 | 90% / 10 % | 62.581,67 |
| IN | Organic Waynad | Blend | Robusta | lavado | organic | :D | 10.980,00 | 6,1641 | 83% / 17 % | 67.681,67 |
| HN | COMSA | Blend „MP-153“ | Arabica | lavado | organic | 84 | 18.975,00 | 3,00 | 100 % CAD | 125.499,00 |
| HN | COMSA | Blend „MP-155“ | Arabica | lavado | organic | 84 | 18.975,00 | 3,00 | 100 % CAD | 125.499,00 |
| HN | COMSA | Blend „MP-407, MP-409, MP-410“ | Arabica | Melado | organic | 84 | 6.900,00 | 3,00 | 100 % CAD | 45.636,00 |
| HN | COMSA | ML / Ronald Melghem | Arabica | Melado | organic | :D | 1.518,00 | 3,40 | 100 % CAD | 11.378,62 |
| HN | COMSA | Blend „510“ | Arabica | lavado | organic | :D | 6.900,00 | 3,00 | 100 % CAD | 45.636,00 |
| HN | COMSA | Blend „MP-511“ | Arabica | lavado | organic | :D | 6.900,00 | 3,00 | 100 % CAD | 45.636,00 |
| HN | COMSA |
Mezcla 1 Saranda |
Arabica | natural | organic | :D | 499,56 | 3,4 | 3.740,00 | |
| HN | COMSA | Mezcla 2 Secadora Solar | Arabica | natural | organic | :D | 390,54 | 3,4 | 2.924,00 | |
| HN | COMSA | Mezcla 3 | Arabica | natural | organic | :D | 1.792,16 | 3,64171 | 14.373,83 | |
| HN | COMSA | Mezcla 4 | Arabica | natural | organic | :D | 1.600,80 | 3,432414 | 12.099,26 | |
| HN | COMSA | Mezcla 5 | Arabica | natural | organic | :D | 7.316,76 | 3,4025046 | 54.841,57 | |
| HN | COMSA | ML | Arabica | natural | organic | :D | 166,52 | 3,7 | 1.354,20 | |
| HN | COMSA | ML | Arabica | natural | organic | :D | 59,34 | 3,72507 | 491,71 | |
| GUA | COIPEC | Blend | Arabica | lavado | organic | 84 | 16.560,00 | 3,15 | 60% / 40 % | 115.003,20 |
| GUA | COIPEC | Blend | Arabica | lavado | organic | 84 | 6.417,00 | 3,15 | 60% / 40 % | 44.562,74 |
| EC | ASOSUMACO | Blend | Robusta | lavado | konventionell | :D | 8.211,00 | 2,80 | 60% / 40 % | 50.646,40 |
| EC | Jatary | Blend | Robusta | lavado | konventionell | :D | 966,00 | 2,80 | 100 % Vorfinanziert | 5.958,40 |
| EC | Rukullakta | Blend | Robusta | lavado | konventionell | :D | 1.725,00 | 2,80 | 100 % Vorfinanziert | 10.640,00 |
| EC | ACRIM | Blend | Arabica | lavado | organic | 84 | 3.450,00 | 3,40 | CAD | 25840,00 |
| EC | APECAP | Blend | Arabica | lavado | organic | 84 | 3.450,00 | 3,40 | CAD | 25840,00 |
| PER | Jumarp | Mezcla | Arabica | Melado | organic | Apu / 84+ | 10.350,00 | 3,00 | CAD | 68.454,00 |
| Microlote Ronal Carranza | Arabica | Lavado | organic | 87 | 1.380,00 | 3,50 | 10.648,40 | |||
| EC | Procafeq | José Jiménez | Arabica | Lavado | organico | 87,67 | 276,00 | 540,00 | 100 % CAD | 3.839,40 |
| 46,72 | ||||||||||
| APECAP | Vinicio Martínez | Arabica | organico | 87,58 | 483,00 | 480,00 | 5.385,60 | |||
| 26,30 | ||||||||||
| Procafeq | Lilia Jiron | Arabica | organico | 87,42 | 345,00 | 480,00 | 3.748,80 | |||
| 10,88 | ||||||||||
| Procafeq | Santiago Bermeo | Arabica | organico | 87,25 | 276,00 | 480,00 | 3.624,00 | |||
| 66,67 | ||||||||||
| APECAP | Maura Pinta | Arabica | organico | 87,17 | 345,00 | 480,00 | 3.787,20 | |||
| 13,15 | ||||||||||
| APECAEL | Gladys Erazo | Arabica | convencional | 87,13 | 345,00 | 500,00 | 4.485,00 | |||
| 62,14 | ||||||||||
| APECAP | Gladys Mayo | Arabica | organico | 86,63 | 276,00 | 390,00 | 2.745,60 | |||
| 43,54 | ||||||||||
| APECAP | David Chamba | Arabica | organico | 86,63 | 414,00 | 480,00 | 4.660,80 | |||
| 26,76 | ||||||||||
| APECAP | Napoleon Mayo | Arabica | organico | 86,59 | 414,00 | 390,00 | 4.118,40 | |||
| 65,31 | ||||||||||
| APECAP | Irma Tocto | Arabica | organico | 86,59 | 276,00 | 490,00 | 3.351,60 | |||
| 34,47 | ||||||||||
| APECAP | Jorge Luis Rivera | Arabica | organico | 86,54 | 276,00 | 360,00 | 2.502,00 | |||
| 39,46 | ||||||||||
| APECAP | Maura Pinta | Arabica | organico | 86,5 | 345,00 | 360,00 | 3.261,60 | |||
| 66,22 | ||||||||||
| Procafeq | Servilio Abad | Arabica | organico | 86,17 | 276,00 | 360,00 | 2.620,80 | |||
| 54,43 | ||||||||||
| Procafeq | Armando Rivera | Arabica | organico | 86,17 | 276,00 | 360,00 | 2.721,60 | |||
| 67,13 | ||||||||||
| APECAP | Vinicio Martínez | Arabica | Melado | organico | 84 | 4830,00 | 340,00 | 100% CAD | 36.176,00 | |
| APECAP | José Mayo | Arabica | Melado | organico | 84 | 3450,00 | 340,00 | 100% CAD | 25.840,00 | |
| ACRIM | Blend | Arabica | Melado | organico | 84 | 2070,00 | 340,00 | 100% CAD | 15.504,00 | |
| ACRIM | Blend | Arabica | Melado | organico | 84 | 690,00 | 340,00 | 100% CAD | 5.168,00 | |
| Jatari | Blend | Robusta | Lavado | convencional | :D | 2484,00 | 280,00 | 100% Prefinancion | 15321,60 | |
| Jatari | Blend | Robusta | Lavado | convencional | :D | 552,00 | 280,00 | 60% Prefinancion | 3404,80 | |
| PER | Cenfrocafe | Blend | Arabica | Lavado | organico | 84 | 10350,00 | 3,00 | 100 % CAD | 68451,75 |
| PER | Cenfrocafe | Blend | Arabica | Lavado | organico | 84 | 17940,00 | 3,00 | 100 % CAD | 118649,70 |
| EC | APECAP | Blend | Arabica | Lavado | organico | 84 | 15.663,00 | 340,00 | CAD | 117.313,60 |
| Rukkulakta | Blend | Robusta | Lavado | convencional | :D | 1656,00 | 280,00 | 100% Prefinancion | 10214,40 | |
| Rukkulakta | Blend | Robusta | Lavado | convencional | :D | 414,00 | 280,00 | 60% Prefinancion | 2553,60 | |
| ACRIM | Blend | Arabica | Lavado | organico | 84 | 1587,00 | 340,00 | CAD | 11886,40 | |
| 299.095,26 | 1.784.880,65 |
| Land | Kooperative | Blend / ML Name | Arabica / Robusta | Aufbereitung |
Qualität / SCA |
Netto kg (gesamt) |
FOB | CAD / Vorfinanzierung | Gesamtwert |
| Honduras | COMSA | Blend | Arabica | Natural | 85,5 | 1624,26 | 3,4933 | CAD | 12509,50 |
| Honduras | COMSA | Blend | Arabica | Natural | 84,25 | 431,25 | 3,2784 | CAD | 3117,80 |
| Honduras | COMSA | Blend | Arabica | Natural | 85 | 1141,26 | 3,53601 | CAD | 8196,60 |
| Honduras | COMSA | Blend | Arabica | Natural | 85 | 885,27 | 3,20595 | CAD | 6258,00 |
| Honduras | COMSA | Blend | Arabica | Honey | 85,75 | 10350,00 | 3,7 | CAD | 84426,60 |
| Honduras | COMSA | Maria Cristina Martinez | Arabica | Natural | 87 | 172,00 | 3,8 | CAD | 1440,20 |
| Honduras | COMSA | Oscar Agustin Bautista | Arabica | Natural | 88 | 29,00 | 4,5 | CAD | 283,50 |
| Honduras | COMSA | Oscar Agustin Bautista | Arabica | Natural | 87 | 190,00 | 3,8 | CAD | 1607,40 |
| Honduras | COMSA | Don Tacho | Arabica | Natural | 88,75 | 299,00 | 4,5 | CAD | 2947,50 |
| Honduras | COMSA | Don Tacho | Arabica | Natural | 87,5 | 347,00 | 3,8 | CAD | 2903,20 |
| Honduras | COMSA | Don Tacho | Arabica | Natural | 86,5 | 363,00 | 4,5 | CAD | 3582,00 |
| Honduras | COMSA | Don Tacho | Arabica | Natural | 87 | 384,00 | 4,5 | CAD | 3793,50 |
| Honduras | COMSA | Oscar Omar Alonzo | Arabica | Natural | 87,5 | 72,00 | 4,5 | CAD | 697,50 |
| Honduras | COMSA | Oscar Omar Alonzo | Arabica | Natural | 87,5 | 61,00 | 3,8 | CAD | 1231,20 |
| Honduras | COMSA | Oscar Omar Alonzo | Arabica | Natural | 87 | 116,00 | 3,8 | CAD | 1360,40 |
| Honduras | COMSA | Oscar Omar Alonzo | Arabica | Natural | 87,25 | 209,00 | 3,8 | CAD | 1748,00 |
| Honduras | COMSA | Oscar Omar Alonzo | Arabica | Natural | 87 | 161,00 | 3,8 | CAD | 1045,00 |
| Honduras | COMSA | Oscar Omar Alonzo | Arabica | Natural | 86,75 | 148,00 | 3,8 | CAD | 509,20 |
| Honduras | COMSA | Lennon Diaz | Arabica | Natural | 87,5 | 58,00 | 3,8 | CAD | 475,00 |
| Honduras | COMSA | Pedro Antonio Martinez | Arabica | Natural | 87,25 | 87,00 | 3,8 | CAD | 722,00 |
| Honduras | COMSA | Blend | Arabica | Melado | 85,5 | 5658,00 | 3,2 | CAD | 39915,96 |
| Honduras | COMSA | Blend | Arabica | Melado | 84,5 | 3105,00 | 3 | CAD | 20536,20 |
| Honduras | COMSA | Lennon Diaz | Arabica | Melado | 88 | 69,00 | 4,5 | CAD | 684,54 |
| Honduras | COMSA | Blend | Arabica | Lavado | 84 | 10350,00 | 2,9 | CAD | 66172,20 |
| Honduras | COMSA | Don Tacho | Arabica | Natural | 86,5 | 458,00 | 4,5 | CAD | 4550,63 |
| Honduras | COMSA | Pedro Antonio Martinez | Arabica | Natural | 87 | 138,00 | 3,8 | CAD | 1156,07 |
| Honduras | COMSA | Pedro Antonio Martinez | Arabica | Natural | 87 | 21,00 | 3,8 | CAD | 212,27 |
| Honduras | COMSA | Blend | Arabica | Natural | 85,75 | 795,00 | 3,29 | CAD | 5758,03 |
| Honduras | COMSA | Blend | Arabica | Natural | 85,25 | 520,00 | 3,5 | CAD | 4045,23 |
| Honduras | COMSA | Blend | Arabica | Natural | 84 | 329,00 | 3,29 | CAD | 2196,11 |
| Honduras | COMSA | Blend | Arabica | Lavado | 84 | 12141,00 | 2,9 | CAD | 77200,90 |
| Honduras | COMSA | Blend | Arabica | Lavado | 85,25 | 5383,00 | 2,9 | CAD | 34,409,54 |
| Indien | Organic Wayanad | Blend | Robusta | Lavado | :D | 18000,00 | 2,85 |
Vorfinanzierung 100% |
113099,40 |
| Guatemala | COIPEC | Blend | Arabica | Lavado | 84 | 15525,00 | 3,15 |
Vorfinanzierung 60% / 40% |
107815,05 |
| Peru | Jumarp | Blend | Arabica | Honey | 84,25 | 15870,00 | 3,00 |
Vorfinanzierung 60% / 40% |
104962,80 |
| Peru | Jumarp | Blend | Arabica | Natural | 84 | 3450,00 | 3,00 |
Vorfinanzierung 60% / 40% |
22818,00 |
| Peru | Cenfrocafe | Blend | Arabica | Lavado | 84 | 18260,00 | 2,90 |
Vorfinanzierung 60% / 40% |
114699,00 |
| Peru | Cenfrocafe | Blend | Arabica | Lavado | 84 | 10350,00 | 2,90 | CAD | 66172,50 |
| Brasil | Coopfam | Blend | Arabica | Natural | 83 | 6000,00 | 2,90 | CAD | 38360,33 |
| Ecuador | APECAP | Blend | Arabica | Lavado | 84 | 17043,00 | 3,40 |
Vorfinanzierung 60% / 40% |
127649,60 |
| Ecuador | APECAP | Blend | Arabica | Honey | 84 | 2277,00 | 3,40 |
Vorfinanzierung 60% / 40% |
17054,40 |
| Ecuador | ACRIM | Blend | Arabica | Lavado | 84 | 10833,00 | 3,40 |
Vorfinanzierung 60% / 40% |
81137,60 |
| Ecuador | APECAP | Irma Tocto | Arabica | Lavado | 87,75 | 138,00 | 5,65 | CAD | 3435,20 |
| Ecuador | Jatari | Blend | Robusta | Lavado | :D | 5451,00 | 2,80 |
Vorfinanzierung 60% / 40% |
33622,40 |
| Ecuador | ASOSUMACO | Microlot | Robusta | Lavado | :D | 166,00 | 3,85 | CAD | 1408,10 |
| Ecuador | CHANAGUANO | Microlot | Robusta | Lavado | :D | 137,00 | 3,65 | CAD | 1109,60 |
| Ecuador | ASOAMAZONAS | Microlot | Robusta | Lavado | :D | 40,82 | 3,45 | CAD | 310,50 |
| Ecuador | APECAP | Luz M Castillo | Arabica | Lavado | 86,25 | 345,00 | 3,80 | CAD | 2888,00 |
| Ecuador | ASOAMAZONAS | Blend | Robusta | Lavado | :D | 10350,00 | 2,80 |
Vorfinanzierung 60% / 40% |
63840,00 |
| Ecuador | Rukullakta | Blend | Robusta | Lavado | :D | 9039,00 | 2,80 |
Vorfinanzierung 60% / 40% |
55753,60 |
| Ecuador | ACRIM | Blend | Arabica | Lavado | 84 | 7383,00 | 3,40 |
Vorfinanzierung 60% / 40% |
55297,60 |
| Ecuador | APECAP | Blend | Arabica | Honey | 84 | 3450,00 | 3,40 |
Vorfinanzierung 60% / 40% |
25840,00 |
| Ecuador | APECAP | Blend | Arabica | Honey | 84 | 2553,00 | 3,40 |
Vorfinanzierung 60% / 40% |
19121,60 |